
Chúng tôi xin thông báo để các cơ quan, đoàn thể, đơn vị, trường học và bạn đọc đặt mua các ấn phẩm Báo Nhân Dân theo thông tin sau:
Đường dây nóng: (84) 24 393 82413
Xin trân trọng cảm ơn!
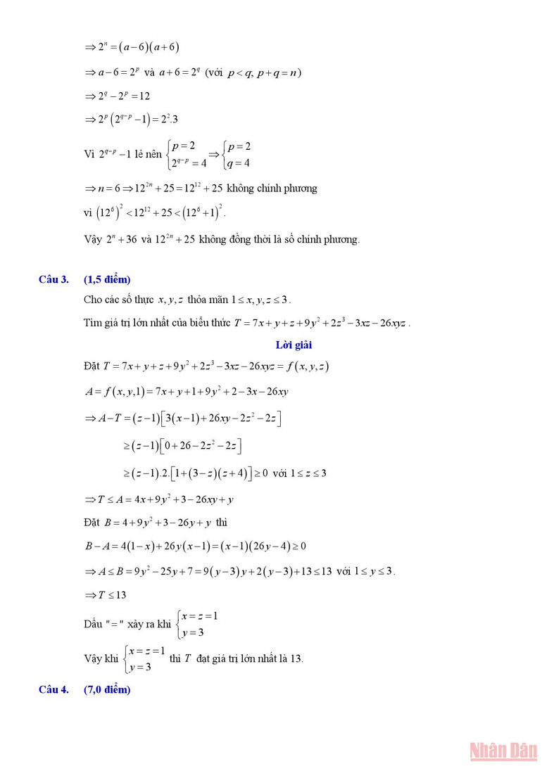
Gợi ý lời giải chi tiết môn Toán chuyên của Kỳ thi vào lớp 10 Trường THPT chuyên Phan Bội Châu và Trường THPT chuyên Đại học Vinh năm học 2022-2023. Hai trường cùng chung kỳ thi. Lời giải do các giáo viên nhóm Toán Tiểu học - THCS - THPT Việt Nam thực hiện.