Chúng tôi xin thông báo để các cơ quan, đoàn thể, đơn vị, trường học và bạn đọc đặt mua các ấn phẩm Báo Nhân Dân theo thông tin sau:
Đường dây nóng: (84) 24 393 82413
Xin trân trọng cảm ơn!
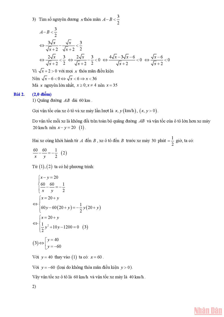
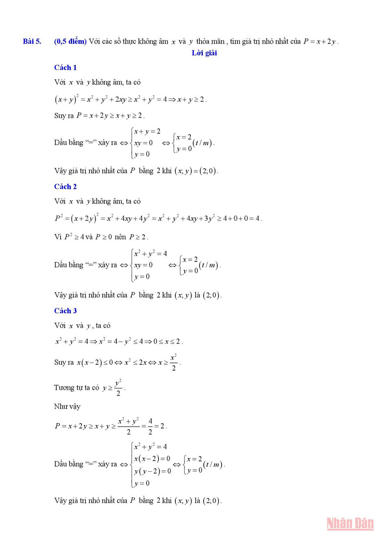
Sáng 19/6, các thí sinh Hà Nội đã kết thúc bài thi môn Toán của kỳ thi tuyển sinh vào lớp 10 THPT năm học 2022-2023. Dưới đây là gợi ý lời giải đề thi môn Toán từ các giáo viên nhóm Toán Tiểu học - THCS - THPT Việt Nam thực hiện để thí sinh tham khảo.