Lời giải chi tiết 50 câu của mã đề 103 do các giáo viên nhóm Toán tiểu học-THCS-THPT Việt Nam thực hiện để thí sinh tham khảo.
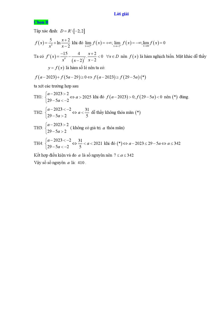
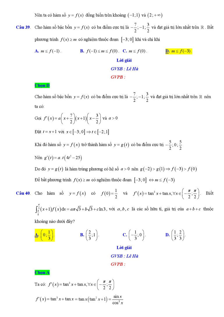
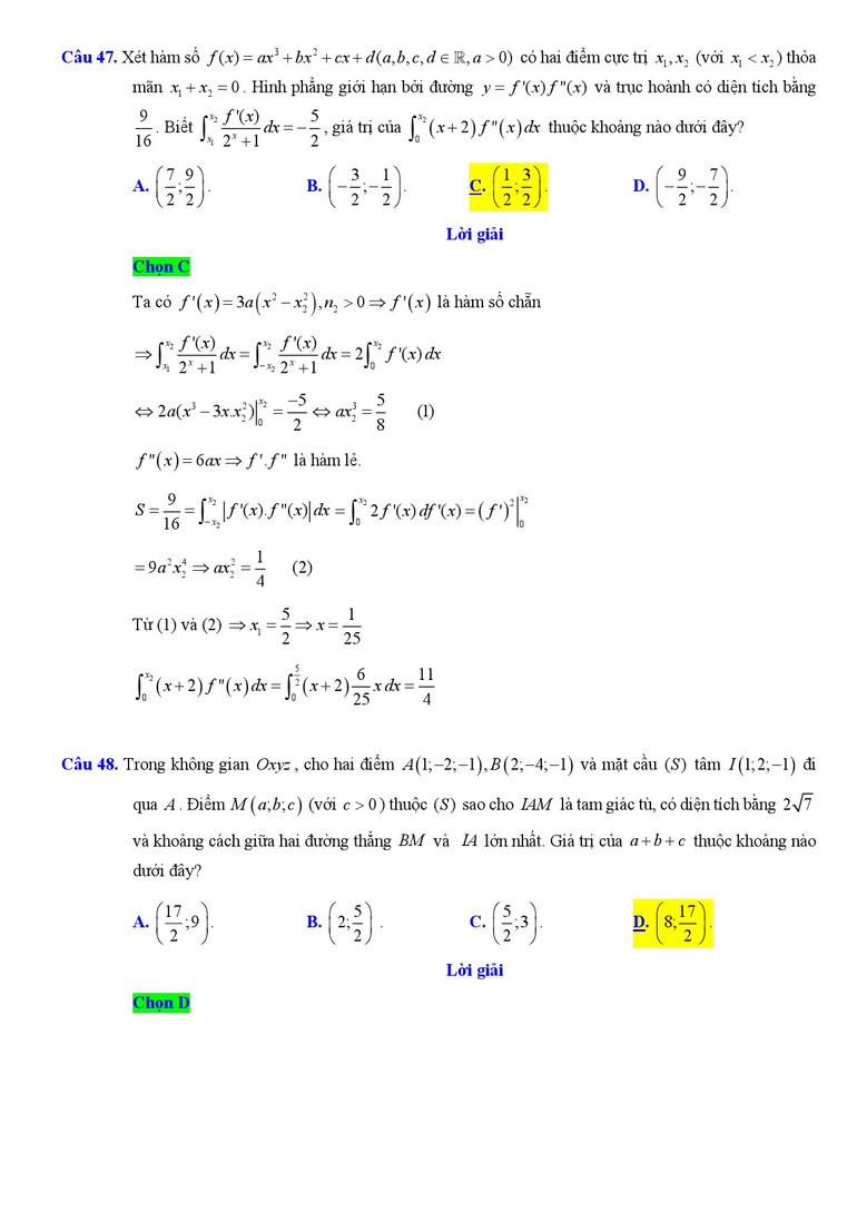
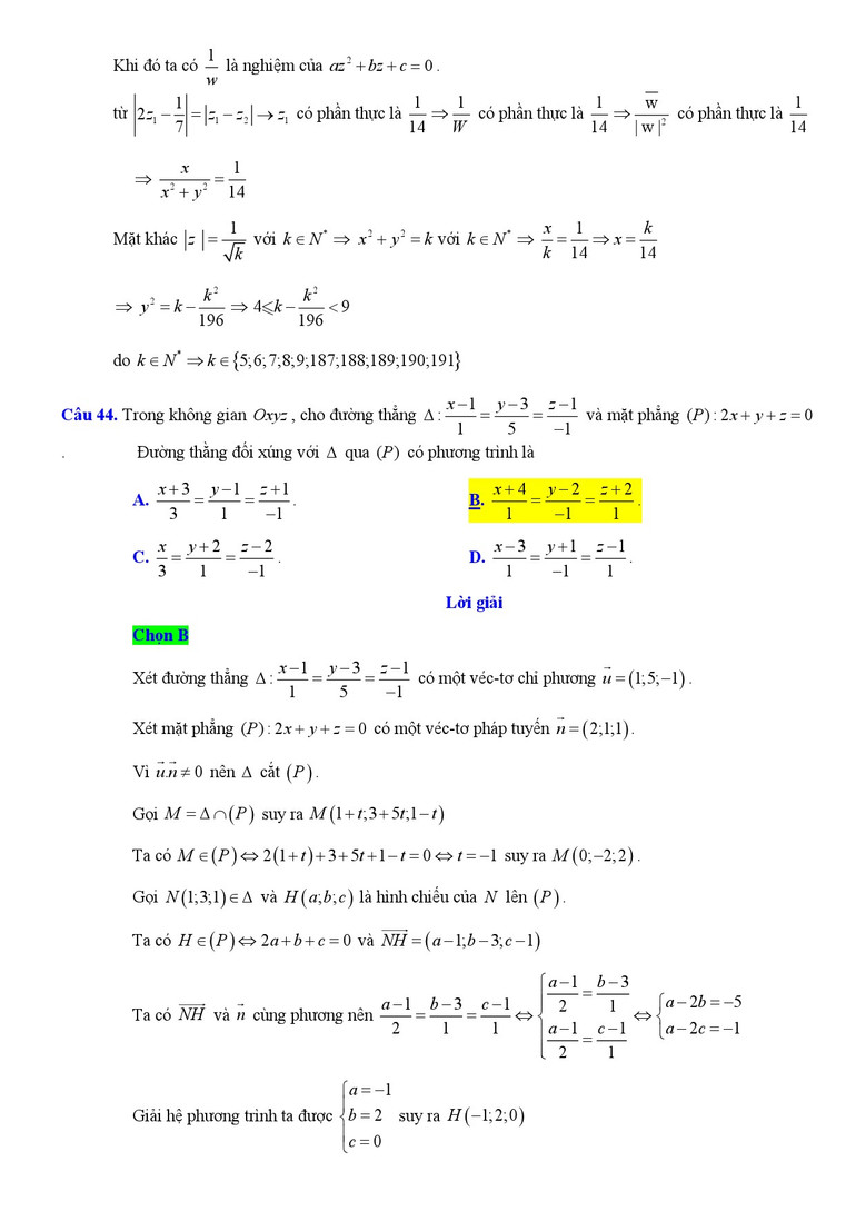
![]() |
![]() |
![]() |
![]() |
![]() |
![]() |
![]() |
![]() |
![]() |
![]() |
![]() |
![]() |
![]() |
![]() |
![]() |
![]() |
![]() |
![]() |
![]() |
![]() |
![]() |
Chúng tôi xin thông báo để các cơ quan, đoàn thể, đơn vị, trường học và bạn đọc đặt mua các ấn phẩm Báo Nhân Dân theo thông tin sau:
Đường dây nóng: (84) 24 393 82413
Xin trân trọng cảm ơn!
Lời giải chi tiết 50 câu của mã đề 103 do các giáo viên nhóm Toán tiểu học-THCS-THPT Việt Nam thực hiện để thí sinh tham khảo.
![]() |
![]() |
![]() |
![]() |
![]() |
![]() |
![]() |
![]() |
![]() |
![]() |
![]() |
![]() |
![]() |
![]() |
![]() |
![]() |
![]() |
![]() |
![]() |
![]() |
![]() |