Đề minh họa môn Toán thi lớp 10 THPT theo Chương trình Giáo dục phổ thông 2018 của Hà Nội gồm 5 bài toán lớn, theo hình thức tự luận với thời gian làm bài 120 phút. Lời giải chi tiết do các giáo viên Câu lạc bộ Học cùng bạn (Hà Nội) hướng dẫn.
![]() |
![]() |
![]() |
![]() |
![]() |
![]() |
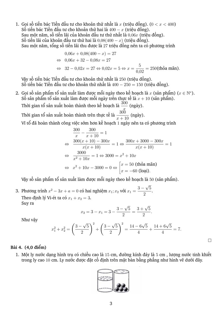
![]() |
Chúng tôi xin thông báo để các cơ quan, đoàn thể, đơn vị, trường học và bạn đọc đặt mua các ấn phẩm Báo Nhân Dân theo thông tin sau:
Đường dây nóng: (84) 24 393 82413
Xin trân trọng cảm ơn!
Đề minh họa môn Toán thi lớp 10 THPT theo Chương trình Giáo dục phổ thông 2018 của Hà Nội gồm 5 bài toán lớn, theo hình thức tự luận với thời gian làm bài 120 phút. Lời giải chi tiết do các giáo viên Câu lạc bộ Học cùng bạn (Hà Nội) hướng dẫn.
![]() |
![]() |
![]() |
![]() |
![]() |
![]() |
![]() |