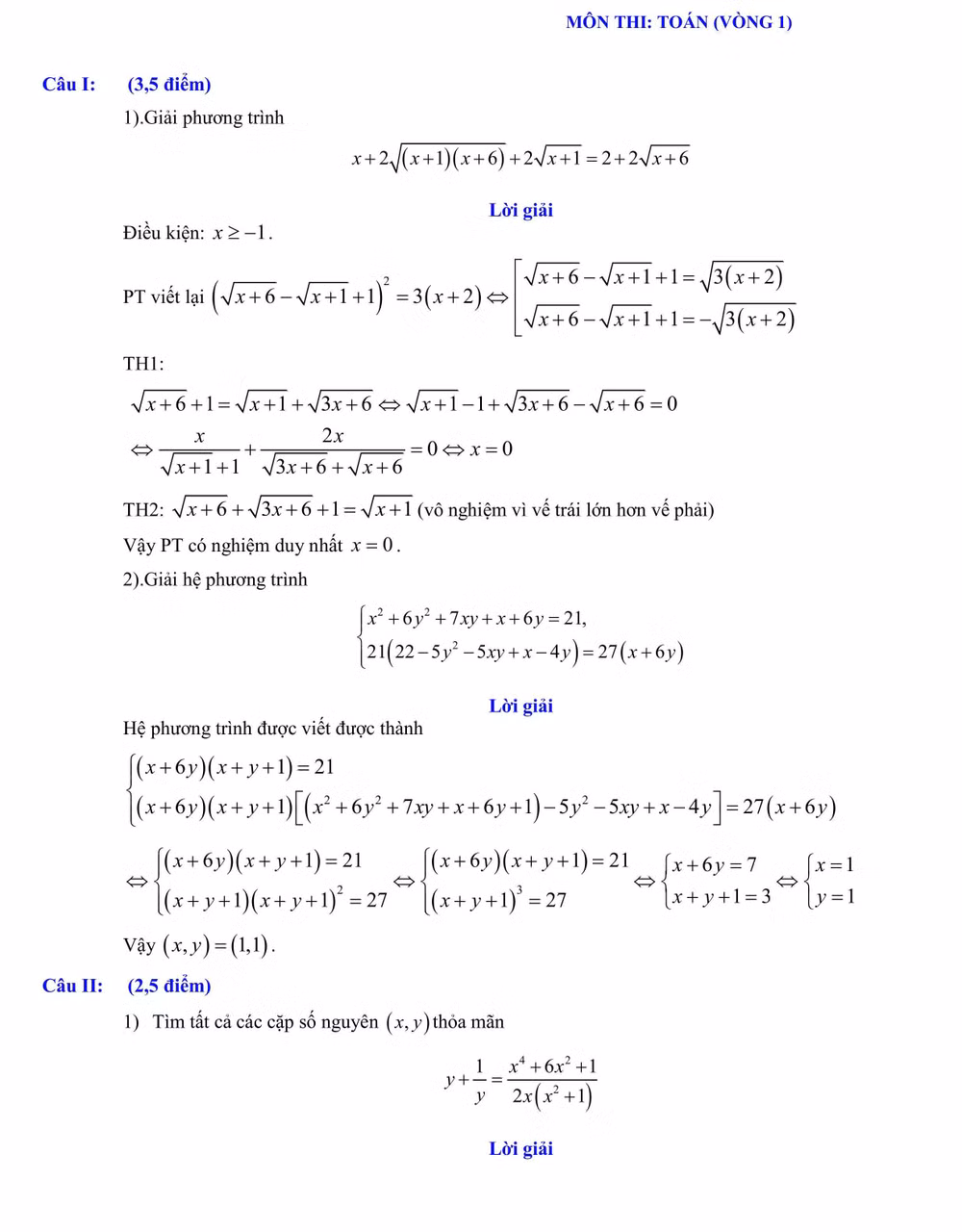
Gợi ý lời giải chi tiết môn Toán (vòng 1) Kỳ thi tuyển sinh vào lớp 10 Trường THPT chuyên Khoa học Tự nhiên do các giáo viên nhóm Toán tiểu học - THCS - THPT Việt Nam thực hiện. Thí sinh dùng để tham khảo.
Chúng tôi xin thông báo để các cơ quan, đoàn thể, đơn vị, trường học và bạn đọc đặt mua các ấn phẩm Báo Nhân Dân theo thông tin sau:
Đường dây nóng: (84) 24 393 82413
Xin trân trọng cảm ơn!
Trong ngày 1 và 2/6, Kỳ thi tuyển sinh vào lớp 10 năm học 2025-2026 của Trường trung học phổ thông chuyên Khoa học Tự nhiên, thuộc Trường đại học Khoa học Tự nhiên, Đại học Quốc gia Hà Nội diễn ra với sự tham dự của khoảng 3.000 thí sinh. Dưới đây là gợi ý lời giải chi tiết đề thi môn Toán (vòng 1) để thí sinh tham khảo.
Gợi ý lời giải chi tiết môn Toán (vòng 1) Kỳ thi tuyển sinh vào lớp 10 Trường THPT chuyên Khoa học Tự nhiên do các giáo viên nhóm Toán tiểu học - THCS - THPT Việt Nam thực hiện. Thí sinh dùng để tham khảo.