Gợi ý đáp án môn Toán thi lớp 10 Hà Nội

10 giờ sáng 13-6, các thí sinh tham dự kỳ thi tuyển sinh vào lớp 10 năm học 2021-2022 Thành phố Hà Nội kết thúc thời gian làm bài môn Toán. 

Thí sinh kỳ thi lớp 10 năm 2021 của Thành phố Hà Nội. Ảnh: THUỶ NGUYÊN
Thí sinh kỳ thi lớp 10 năm 2021 của Thành phố Hà Nội. Ảnh: THUỶ NGUYÊN

Dưới đây là đề thi, gợi ý đáp án môn Toán thi lớp 10 Hà Nội từ các giáo viên Tổ Toán, Hệ thống giáo dục Học mãi:

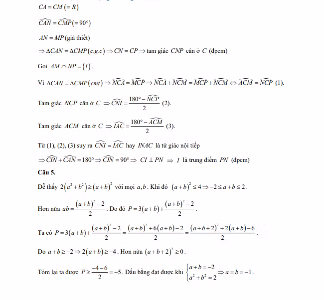
Gợi ý đáp án môn Toán thi lớp 10 Hà Nội -0
Đề thi môn Toán lớp 10 Hà Nội 
Gợi ý đáp án môn Toán thi lớp 10 Hà Nội -0
Gợi ý đáp án môn Toán thi lớp 10 Hà Nội -0
Gợi ý đáp án môn Toán thi lớp 10 Hà Nội -0 
Gợi ý đáp án môn Toán thi lớp 10 Hà Nội -0 

 Gợi ý đáp án đề thi Toán lớp 10 Hà Nội

Gợi ý đáp án đề thi môn Ngữ văn tuyển sinh vào lớp 10 của Hà Nội

Gợi ý đáp án các mã đề môn Ngoại ngữ thi vào lớp 10 Hà Nội

Đề thi Ngữ văn 10 Hà Nội: “Phải chăng tri thức làm nên giá trị con người?”

Đề thi tiếng Anh lớp 10 Hà Nội: Sẽ nhiều điểm 9, 10 hơn năm trước

Có thể bạn quan tâm