Thí sinh Kỳ thi tuyển sinh lớp 10 Hà Nội năm 2025. (Ảnh: ĐẠI THẮNG)
Thí sinh Kỳ thi tuyển sinh lớp 10 Hà Nội năm 2025. (Ảnh: ĐẠI THẮNG)

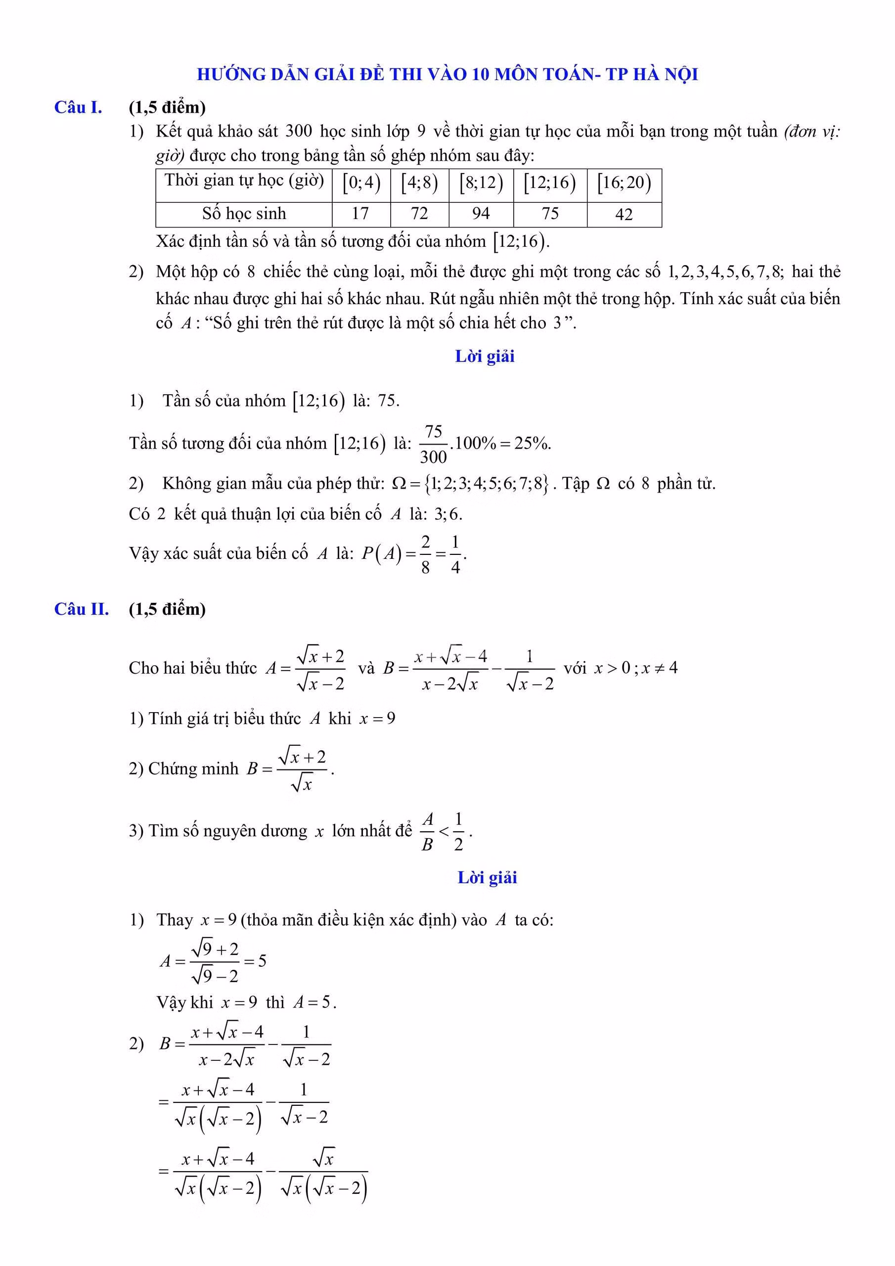
Gợi ý giải đề Toán thi lớp 10 Hà Nội năm 2025

Đề thi tuyển sinh vào lớp 10 môn Toán của thành phố Hà Nội năm học 2025-2026 gồm 5 câu, có thời gian làm bài trong 120 phút. Đề thay đổi hẳn so với các năm trước ở cấu trúc câu hỏi, bổ sung thêm nội dung xác xuất-thống kê.

Gợi ý lời giải chi tiết bài thi môn Toán của Kỳ thi vào lớp 10 năm học 2025-2026 Hà Nội do giáo viên nhóm Toán tiểu học - THCS - THPT Việt Nam thực hiện. Học sinh dùng để tham khảo.

ndo_c_b8dde30f76d9c2879bc8.jpg
ndo_c_62283cbda96b1d35447a.jpg
ndo_c_583ad82a4cfcf8a2a1ed.jpg
ndo_c_e13f7181e55751090846.jpg
ndo_c_423789551e83aaddf392.jpg
ndo_c_9347c9685ebeeae0b3af.jpg
ndo_c_ada8a243359581cbd884.jpg

Có thể bạn quan tâm