Chúng tôi xin thông báo để các cơ quan, đoàn thể, đơn vị, trường học và bạn đọc đặt mua các ấn phẩm Báo Nhân Dân theo thông tin sau:
Đường dây nóng: (84) 24 393 82413
Xin trân trọng cảm ơn!
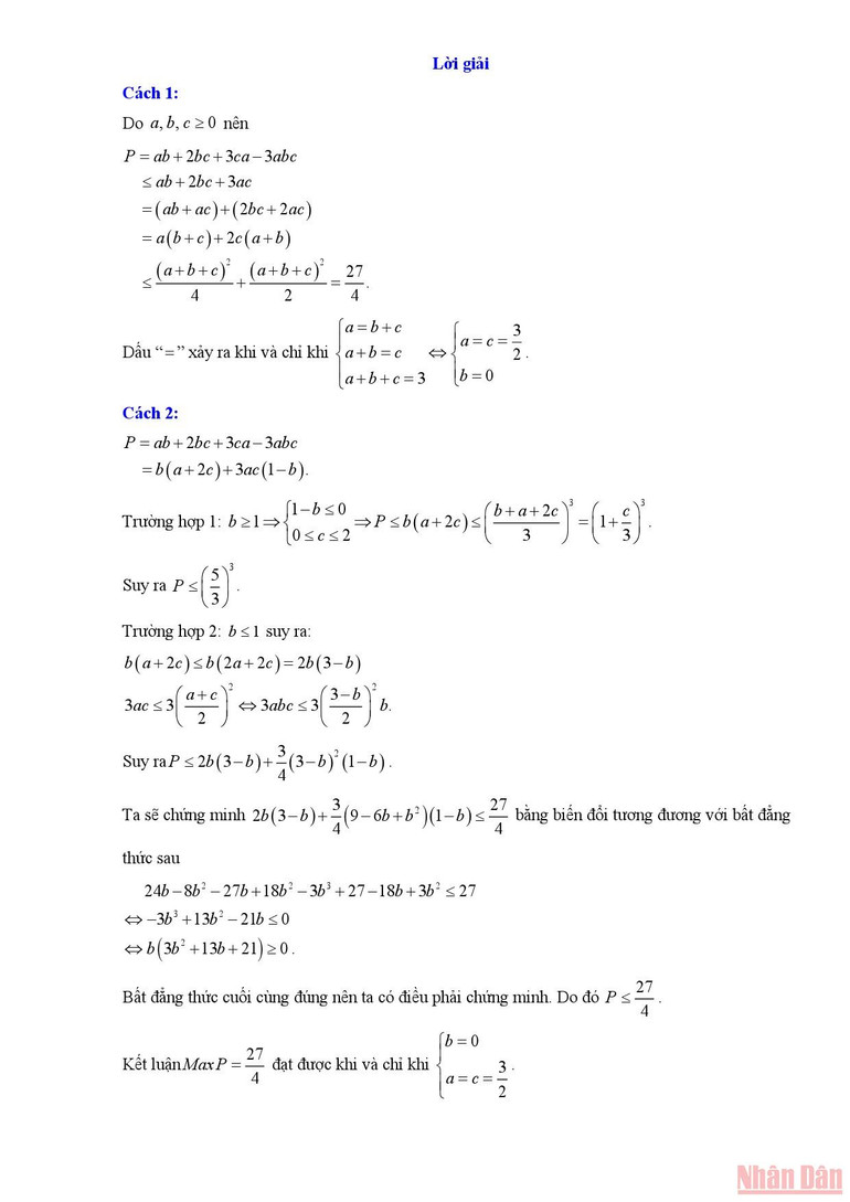
Sáng 20/6, thí sinh của Hà Nội thi các môn chuyên đề vào lớp 10 các trường chuyên, trường có lớp chuyên. Dưới đây là gợi ý lời giải đề thi môn Toán chuyên do giáo viên nhóm Toán Tiểu học-THCS-THPT Việt Nam thực hiện.