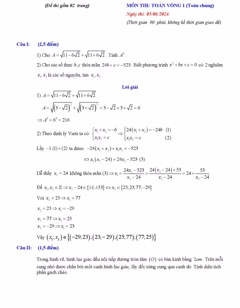
Gợi ý lời giải chi tiết môn Toán (vòng 1) do các giáo viên nhóm Toán tiểu học - THCS - THPT Việt Nam thực hiện.
![]() |
![]() |
![]() |
![]() |
![]() |
Chúng tôi xin thông báo để các cơ quan, đoàn thể, đơn vị, trường học và bạn đọc đặt mua các ấn phẩm Báo Nhân Dân theo thông tin sau:
Đường dây nóng: (84) 24 393 82413
Xin trân trọng cảm ơn!
Gợi ý lời giải chi tiết môn Toán (vòng 1) do các giáo viên nhóm Toán tiểu học - THCS - THPT Việt Nam thực hiện.
![]() |
![]() |
![]() |
![]() |
![]() |