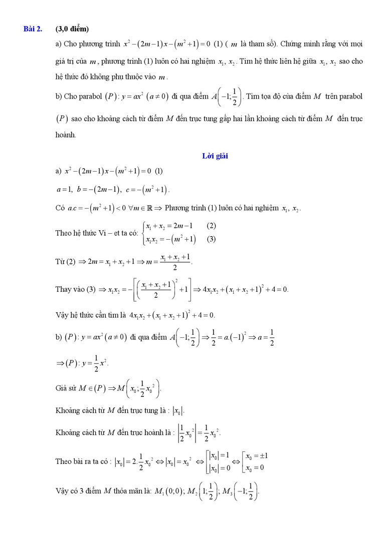
![]() |
| Gợi ý giải do các giáo viên nhóm Toán Tiểu học - THCS - THPT Việt Nam thực hiện |
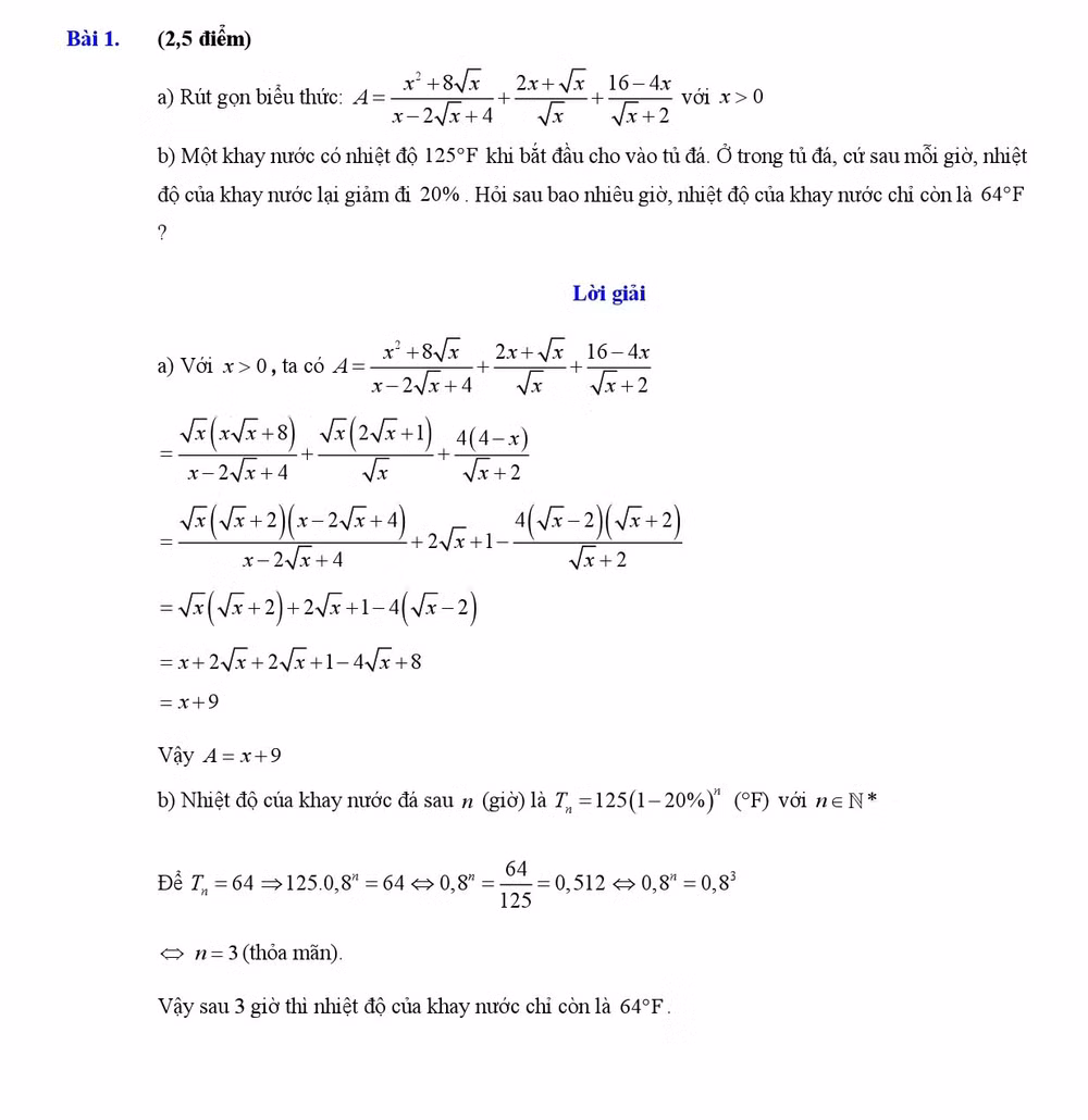
![]() |
| Gợi ý giải do các giáo viên nhóm Toán Tiểu học - THCS - THPT Việt Nam thực hiện |
![]() |
| Gợi ý giải do các giáo viên nhóm Toán Tiểu học - THCS - THPT Việt Nam thực hiện |
![]() |
| Gợi ý giải do các giáo viên nhóm Toán Tiểu học - THCS - THPT Việt Nam thực hiện |
![]() |
| Gợi ý giải do các giáo viên nhóm Toán Tiểu học - THCS - THPT Việt Nam thực hiện |
![]() |
| Gợi ý giải do các giáo viên nhóm Toán Tiểu học - THCS - THPT Việt Nam thực hiện |





