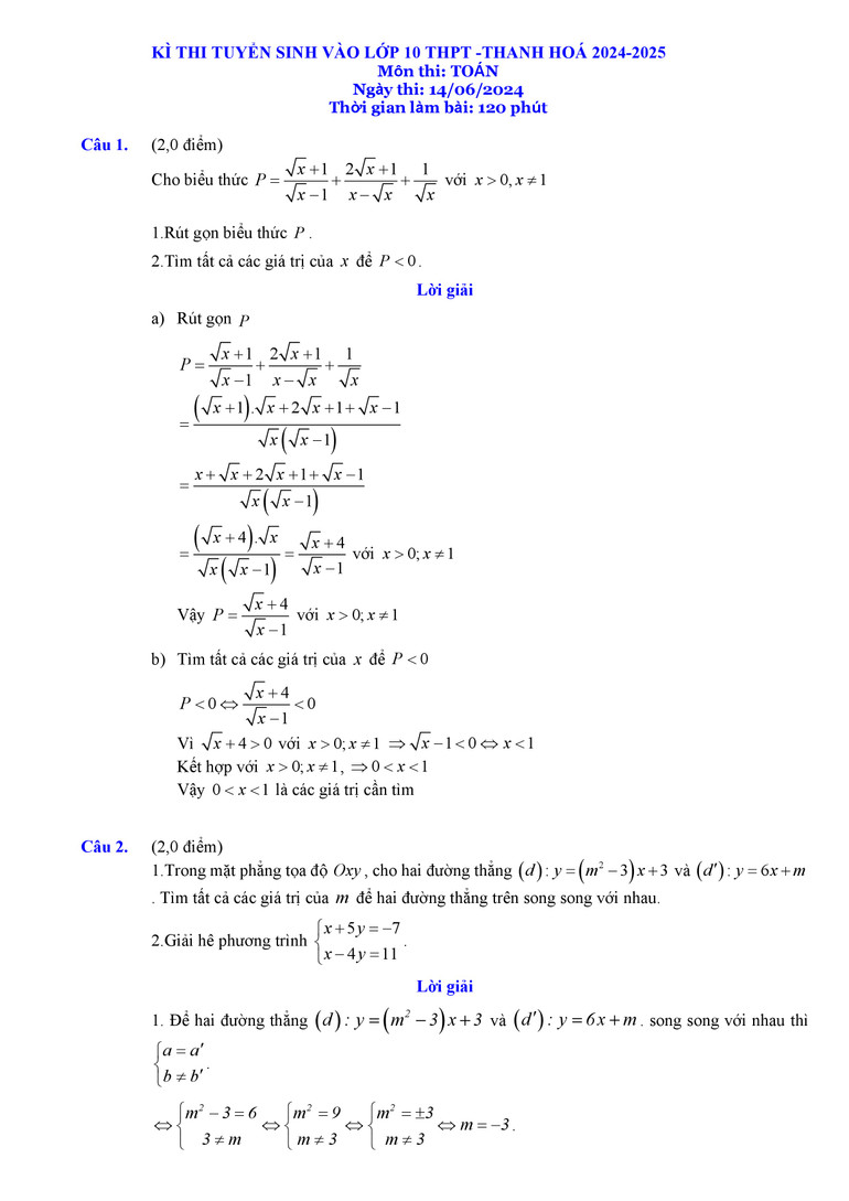
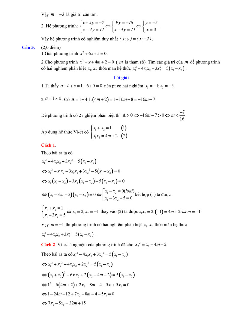
Ngày 14/6, các thí sinh tham dự kỳ thi tuyển sinh vào lớp 10 trung học phổ thông công lập năm học 2024-2025 của tỉnh Thanh Hóa đã hoàn thành bài thi môn Toán với thời gian làm bài 120 phút.
Dưới đây là gợi ý lời giải chi tiết đề thi môn Toán do các giáo viên nhóm Toán tiểu học - THCS - THPT Việt Nam thực hiện để thí sinh tham khảo.
![]() |
![]() |
![]() |
![]() |
![]() |




