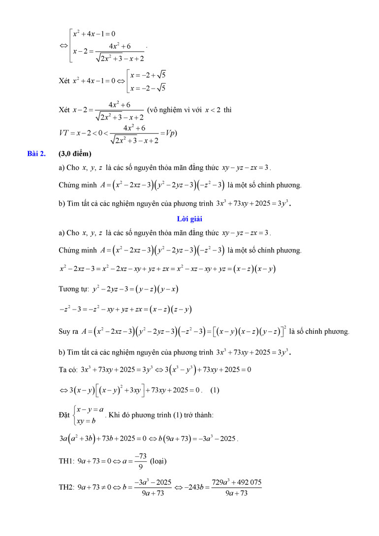
Gợi ý lời giải chi tiết của đề thi môn Toán chuyên tại kỳ thi tuyển sinh vào lớp 10 Trường trung học phổ thông chuyên Phan Bội Châu năm học 2024-2025 do các giáo viên nhóm Toán tiểu học - trung học cơ sở - trung học phổ thông Việt Nam thực hiện.
![]() |
![]() |
![]() |
![]() |
![]() |
![]() |
![]() |
![]() |
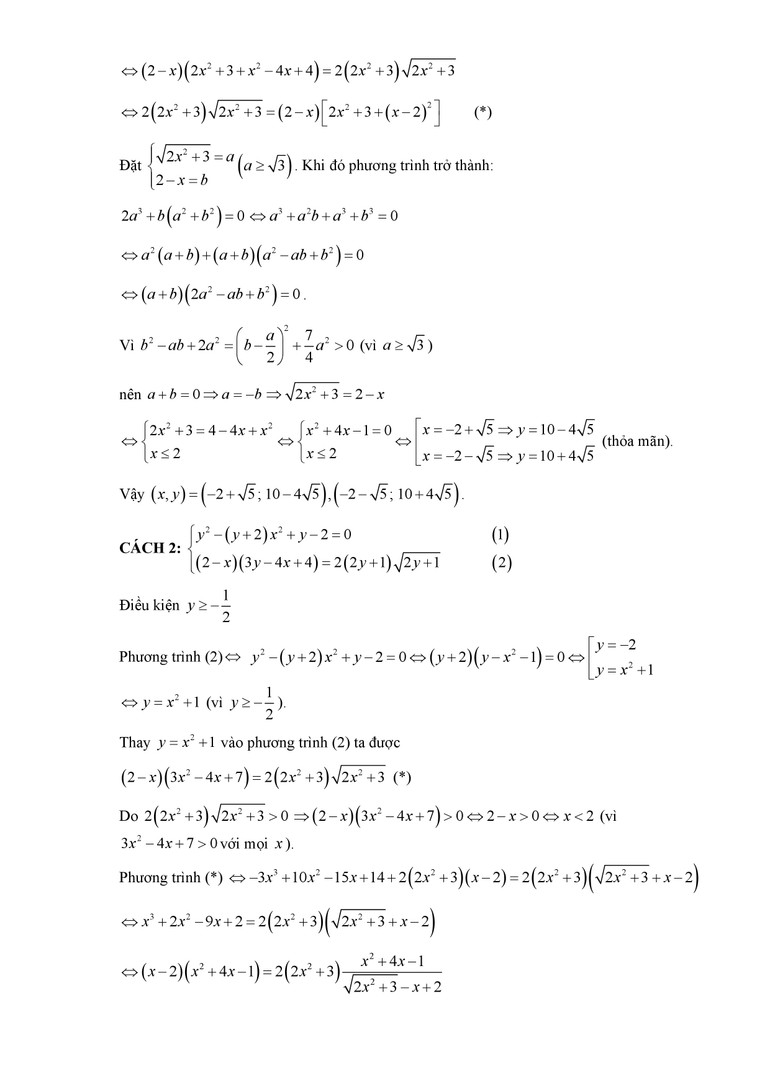
Gợi ý lời giải chi tiết của đề thi môn Toán chuyên tại kỳ thi tuyển sinh vào lớp 10 Trường trung học phổ thông chuyên Phan Bội Châu năm học 2024-2025 do các giáo viên nhóm Toán tiểu học - trung học cơ sở - trung học phổ thông Việt Nam thực hiện.
![]() |
![]() |
![]() |
![]() |
![]() |
![]() |
![]() |
![]() |
Để công tác tổ chức bữa ăn bán trú cho học sinh tại các trường học trên địa bàn thành phố được triển khai đồng bộ, thống nhất, bảo đảm an toàn thực phẩm, Ủy ban nhân dân thành phố Hà Nội đã ban hành "Hướng dẫn quy trình tổ chức bữa ăn bán trú cho học sinh tại các trường học trên địa bàn thành phố Hà Nội" gồm 10 bước.
Sáng 15/3, trong không khí phấn khởi của Ngày hội toàn dân đi bầu cử, sinh viên nhiều trường đại học tại Hà Nội đã có mặt từ sớm tại các điểm bỏ phiếu để thực hiện quyền và nghĩa vụ công dân của mình.
Chính phủ vừa ban hành Nghị định số 66/2026/NĐ-CP quy định chi tiết một số điều của Luật Giáo dục; trong đó quy định rõ thủ tục, quy trình bổ nhiệm cán bộ quản lý cơ sở giáo dục công lập, dân lập, tư thục, cơ sở giáo dục thành lập theo diện Hiệp định với nước ngoài.
Bộ Giáo dục và Đào tạo vừa ban hành Thông tư số 13/TT-BGDĐT sửa đổi Quy chế thi tốt nghiệp trung học phổ thông. Kỳ thi năm 2026 tiếp tục giữ ổn định, chú trọng tinh giản thủ tục, đẩy mạnh ứng dụng công nghệ và điều chỉnh phù hợp mô hình quản lý mới nhằm nâng cao hiệu quả tổ chức, tạo thuận lợi tối đa cho thí sinh.
Ngày 14/3, Báo Thanh Niên phối hợp Bộ Giáo dục và Đào tạo, Sở Giáo dục và Đào tạo Quảng Trị, Tỉnh đoàn Quảng Trị tổ chức chương trình "Tư vấn mùa thi năm 2026" tại điểm chính Trường trung học phổ thông Đông Hà.
Ngày 14/3, Đại học Cần Thơ tổ chức Hội thảo khoa học quốc tế “Văn hóa, xã hội và nhân văn hướng đến phát triển bền vững”.
Ngày 14/3, Trường đại học Luật Thành phố Hồ Chí Minh (ULAW) phối hợp Công ty Trách nhiệm hữu hạn Chill Zone đưa vào hoạt động ký túc xá dành cho sinh viên ULAW tại cơ sở 3, phường Long Phước, Thành phố Hồ Chí Minh.
Ngày 13/3, Trường đại học Ngoại ngữ, Đại học Quốc gia Hà Nội tổ chức chương trình “Ngày hội việc làm 2026” và “Ngày hội học sinh, sinh viên đổi mới sáng tạo, nghiên cứu khoa học, khởi nghiệp 2026”.
Cuộc thi Chính luận về bảo vệ nền tảng tư tưởng của Đảng bước sang năm tổ chức thứ sáu, tiếp tục góp phần quan trọng vào công tác tuyên truyền, giáo dục chính trị, bảo vệ nền tảng tư tưởng của Đảng và đấu tranh phản bác các các quan điểm sai trái, thù địch trong tình hình mới.
Ngày 12/3/2026, theo thông tin từ Sở Giáo dục và Đào tạo Hà Nội, UBND thành phố Hà Nội đã ban hành kế hoạch tuyển sinh vào lớp 10 trung học phổ thông năm học 2026-2027. Kỳ thi tuyển sinh vào lớp 10 trung học phổ thông công lập năm học 2026-2027 diễn ra trong hai ngày 30 và 31/5/2026.
Chính phủ vừa ban hành Nghị định số 66/2026/NĐ-CP quy định chi tiết một số điều của Luật Giáo dục; trong đó quy định rõ thủ tục, quy trình bổ nhiệm cán bộ quản lý cơ sở giáo dục công lập, dân lập, tư thục, cơ sở giáo dục thành lập theo diện Hiệp định với nước ngoài.
Với mục tiêu không để các em học sinh bị bỏ lại phía sau trên hành trình tri thức, Ngân hàng Thương mại cổ phần Ngoại thương Việt Nam (Vietcombank) vừa trao 10 tỷ đồng hỗ trợ để tỉnh Bắc Ninh xây dựng Trường mầm non Sa Lý số 2.
Kỳ thi tuyển sinh vào lớp 10 trung học phổ thông công lập năm học 2026-2027 của thành phố Hà Nội sẽ diễn ra ngày 30 và 31/5, theo kế hoạch vừa ban hành của Ủy ban nhân dân thành phố Hà Nội.
Năm 2026, Trường đại học FPT triển khai chính sách hỗ trợ 30% học phí toàn khóa dành cho học sinh thuộc khu vực 1 nhằm giảm bớt rào cản tài chính và tạo điều kiện để học sinh tại các vùng khó khăn có thể theo học trong môi trường giáo dục đại học hiện đại.
Vòng chung kết Cuộc thi Nghiên cứu khoa học, kỹ thuật cấp quốc gia dành cho học sinh trung học năm học 2025-2026 sẽ diễn ra tại Đại học Phenikaa từ ngày 20 đến 22/3/2026. Cuộc thi quy tụ hơn 450 học sinh và 242 dự án nghiên cứu trên cả nước.
Bộ Giáo dục và Đào tạo sẽ tổ chức thẩm định năm 2026 sách giáo khoa môn Ngoại ngữ 1, Ngoại ngữ 2 theo Chương trình giáo dục phổ thông 2018 của các tổ chức, cá nhân. Thời hạn đăng ký số lượng, tên bản mẫu sách giáo khoa đề nghị thẩm định của môn Ngoại ngữ 1, Ngoại ngữ 2 là trước ngày 15/4.
Danh mục chứng chỉ ngoại ngữ quy định dùng để miễn thi môn Ngoại ngữ trong xét tốt nghiệp trung học phổ thông vừa được bổ sung thêm 2 chứng chỉ: tiếng Hàn TOPIK và tiếng Anh quốc tế Versant English Placement Test (VEPT).
Bộ Giáo dục và Đào tạo sửa đổi, bổ sung một số điều Quy chế thi tốt nghiệp trung học phổ thông để bảo đảm phù hợp với mô hình quản lý chính quyền địa phương 2 cấp, việc sắp xếp đơn vị hành chính cấp tỉnh, sắp xếp lại bộ máy thanh tra; đồng thời tiếp tục đẩy mạnh ứng dụng công nghệ thông tin trong các khâu tổ chức thi.
Trần Thuận Hiếu, học sinh lớp 12 Tin của Trường trung học phổ thông Chuyên Hà Nội-Amsterdam, vừa giành Huy chương Bạc tại kỳ thi Olympic Trí tuệ nhân tạo (AI) quốc tế. Thành tích nổi bật này đã góp phần giúp nam sinh nhận được học bổng toàn phần trị giá khoảng 12 tỷ đồng từ University of Chicago (Hoa Kỳ).
Việc phát triển nguồn nhân lực công nghệ cao sẽ tiếp tục là trọng tâm trong chiến lược phát triển hệ sinh thái đổi mới sáng tạo của Việt Nam trong thời gian tới.
FPT Schools vừa công bố chương trình học bổng “Hành trình tỏa sáng” năm học 2026-2027 trên phạm vi toàn quốc, mang cơ hội nhận học bổng lên tới 100% học phí toàn cấp học cho học sinh có năng lực và tiềm năng ở nhiều lĩnh vực khác nhau.
Theo Quy chế tổ chức và hoạt động của trường phổ thông nội trú vừa mới được ban hành, các trường phổ thông nội trú có thể tuyển sinh học sinh nước láng giềng khi được cấp có thẩm quyền giao nhiệm vụ và theo quy định của pháp luật.
Ngày 10/3, Phó Giáo sư, Tiến sĩ Ngô Thanh Bình, Trưởng phòng quản lý đào tạo đại học (Trường đại học Y Dược Thái Bình, tỉnh Hưng Yên) cho biết: Chuẩn bị cho kỳ tuyển sinh chính quy trình độ đại học năm 2026, hiện nay nhà trường đã công bố các ngành đào tạo, số lượng tuyển sinh, phương thức và tổ hợp xét tuyển.
Năm học 2026-2027, thành phố Hà Nội dự kiến thực hiện phương thức tuyển sinh đầu cấp mầm non, lớp 1, lớp 6 theo hình thức “xét tuyển theo nơi cư trú” của học sinh và dự kiến bỏ khu vực tuyển sinh trong đăng ký tuyển sinh vào lớp 10 các trường trung học phổ thông công lập.
Các học viện, trường công an năm 2026 tuyển mới 2.070 chỉ tiêu, trong đó, 1.870 chỉ tiêu đào tạo trình độ đại học tại các học viện, trường công an nhân dân và 200 chỉ tiêu hợp tác đào tạo trình độ đại học tại các cơ sở đào tạo ngoài ngành.
Thời gian qua, nhiều cơ sở giáo dục đã sớm nhận diện trí tuệ nhân tạo (AI) là xu hướng tất yếu trong hoạt động giáo dục và chuyển đổi số. Đến nay, các cơ sở giáo dục phổ thông đã có kế hoạch thực hiện khá hiệu quả nội dung giáo dục AI, qua đó góp phần phát triển năng lực học tập, tư duy, trải nghiệm cho học sinh.
Cuộc thi Lập trình quốc tế NAPROCK lần thứ 17 lần đầu tiên được tổ chức tại Việt Nam do Trường đại học Công nghệ (Đại học Quốc gia Hà Nội) đăng cai, phối hợp cùng Hiệp hội Bảo trợ Cuộc thi Lập trình KOSEN (NAPROCK) và Hội Tin học Việt Nam tổ chức.
Ngày 9/3, Ủy ban nhân dân Thành phố Hồ Chí Minh có thông tin chính thức về chủ trương nghiên cứu di dời cơ sở Trường đại học Bách khoa, Đại học Quốc gia Thành phố Hồ Chí Minh (tại địa chỉ 268, Lý Thường Kiệt, phường Diên Hồng).