Điểm thi tốt nghiệp trung học phổ thông của thí sinh thấp hơn điểm học bạ

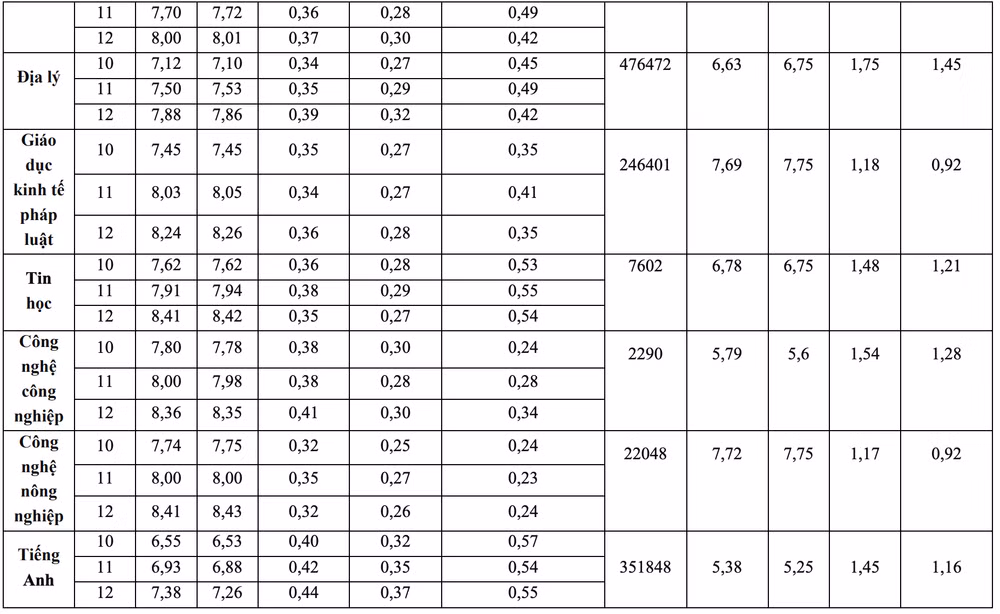
Theo bảng tương quan giữa điểm các môn thi tốt nghiệp THPT năm 2025 với điểm trung bình các môn học THPT được Bộ Giáo dục và Đào tạo công bố, điểm thi tốt nghiệp của tất cả các môn đều thấp hơn điểm học bạ; môn Toán và Tiếng Anh thấp hơn lần lượt là 2,25 và 1,57 điểm. 

Tại Kỳ thi tốt nghiệp THPT năm 2025. (Ảnh: ĐẠI THẮNG)
Tại Kỳ thi tốt nghiệp THPT năm 2025. (Ảnh: ĐẠI THẮNG)

Ngày 22/7, Bộ Giáo dục và Đào tạo công bố bảng tương quan giữa điểm các môn thi tốt nghiệp trung học phổ thông (THPT) năm 2025 với điểm trung bình các môn học trung học phổ thông.

Bảng này so sánh tương quan giữa kết quả thi tốt nghiệp THPT năm 2025 và điểm học tập 3 năm lớp 10, 11, 12 ở bậc phổ thông (điểm học bạ) của học sinh lớp 12 trên cả nước.

Bảng tương quan cho thấy, ở cả 12 môn học, điểm trung bình thi tốt nghiệp THPT đều thấp hơn điểm trung bình học bạ của học sinh.

Một số môn điểm thi tốt nghiệp THPT thấp hơn khá nhiều so với điểm học bạ. Như môn Toán, điểm trung bình tốt nghiệp của thí sinh là 4,78 điểm, trong khi điểm trung bình học bạ của học sinh trong 3 năm học là 7,03 điểm; có nghĩa điểm thi tốt nghiệp THPT đang thấp hơn điểm học bạ tới 2,25 điểm.

môn Tiếng Anh, điểm trung bình thi tốt nghiệp THPT cũng thấp hơn điểm học bạ của học sinh 1,57 điểm.

screen-shot-2025-07-22-at-34919-pm.png
screen-shot-2025-07-22-at-34940-pm.png
(Nguồn: Bộ Giáo dục và Đào tạo)

Trong nhiều năm qua, Bộ Giáo dục và Đào tạo thực hiện đối sánh điểm thi tốt nghiệp THPT của thí sinh với điểm học bạ. Một trong những mục đích của việc đối sánh là nhằm nhận diện khách quan, toàn diện chất lượng dạy và học, đặc biệt là tính thực chất trong đánh giá kết quả học tập ở nhà trường phổ thông.

Theo Bộ Giáo dục và Đào tạo, trường hợp có sử dụng kết quả học THPT để tuyển sinh, các cơ sở đào tạo căn cứ số liệu thống kê về tương quan giữa điểm các môn thi tốt nghiệp THPT năm 2025 với điểm trung bình các môn học THPT để xây dựng và công bố quy đổi tương đương điểm trúng tuyển, ngưỡng đầu vào cho từng chương trình, ngành, nhóm ngành hoặc lĩnh vực đào tạo.

Có thể bạn quan tâm

Bộ trưởng Xây dựng Trần Hồng Minh cùng các đại biểu tham quan trung tâm điều khiển tại phòng mô phỏng.

UTH gắn nghiên cứu, đào tạo nhân lực ngành đường sắt với nhu cầu thực tế của đất nước

Chiều 25/12, Trường đại học Giao thông vận tải Thành phố Hồ Chí Minh (UTH) tổ chức Lễ khánh thành Phòng mô phỏng điều khiển và khai thác đường sắt tốc độ cao. Đồng chí Trần Hồng Minh, Ủy viên Trung ương Đảng, Bộ trưởng Xây dựng; đại diện các bộ, ngành, các đối tác, doanh nghiệp, chuyên gia và tập thể lãnh đạo nhà trường cùng dự.

Học viên trong giờ thực hành nghề công nghệ ô-tô (Ảnh: THU TRANG)

Lịch trình tổ chức các kỳ đánh giá kỹ năng nghề quốc gia năm 2026

Bộ Giáo dục và Đào tạo công bố lịch trình tổ chức các kỳ đánh giá kỹ năng nghề quốc gia năm 2026 đối với 5 nghề: Kỹ thuật khai thác mỏ hầm lò; Kỹ thuật xây dựng mỏ hầm lò; Kỹ thuật cơ điện mỏ hầm lò; Công nghệ thông tin (Ứng dụng phần mềm); Điện tử công nghiệp.

Quang cảnh hội thảo.

Hội thảo khoa học "Kinh nghiệm xây dựng trường chính trị đạt chuẩn mức 1 và định hướng xây dựng đạt chuẩn mức 2"

Chiều 23/12, Trường Chính trị tỉnh Ninh Bình phối hợp Vụ các trường chính trị, Học viện Chính trị quốc gia Hồ Chí Minh tổ chức Hội thảo khoa học “Kinh nghiệm xây dựng trường chính trị đạt chuẩn mức 1 và định hướng xây dựng đạt chuẩn mức 2 ở khu vực đồng bằng sông Hồng”.

Quang cảnh buổi tọa đàm.

Sinh viên Trường đại học Hà Nội “giải mã” lừa đảo số

Ngày 23/12, Trường đại học Hà Nội (HANU) tổ chức tọa đàm “Giải mã lừa đảo số: Khi niềm tin bị đánh cắp”. Chương trình nằm trong chuỗi hoạt động “KHÔNG LINK TINH-Bảo vệ mình”, hướng tới nâng cao nhận thức, kỹ năng phòng tránh lừa đảo trên không gian mạng cho sinh viên trong bối cảnh chuyển đổi số mạnh mẽ hiện nay.

Trường phổ thông dân tộc bán trú tiểu học Hoàng Liên.

Lào Cai: Xã Bản Hồ đối thoại với phụ huynh học sinh về chủ trương sáp nhập trường lớp

Liên quan đến việc hàng trăm học sinh tại Trường phổ thông dân tộc bán trú tiểu học Hoàng Liên, xã Bản Hồ, tỉnh Lào Cai, nghỉ học do lo ngại chủ trương sắp xếp, sáp nhập trường lớp, chiều 22/12, Đảng ủy, Ủy ban nhân dân xã Bản Hồ đã họp với phụ huynh học sinh và giáo viên nhà trường để trao đổi, làm rõ nội dung liên quan.

Một tiết lịch sử tại Trường trung học phổ thông Hoàng Văn Thụ, phường Lương Văn Tri, tỉnh Lạng Sơn.

Nòng cốt thúc đẩy và xây dựng các mô hình học tập tại Lạng Sơn

Nghị quyết 71-NQ/TW về đột phá phát triển giáo dục và đào tạo đã đặt ra yêu cầu xây dựng xã hội học tập là nhiệm vụ chiến lược. Thời gian qua, Hội Khuyến học tỉnh Lạng Sơn đã khẳng định vai trò nòng cốt, nhân tố quan trọng trong việc triển khai hiệu quả các mô hình học tập, góp phần nâng cao dân trí, phát triển nguồn nhân lực.

Tân thạc sĩ nhận bằng tốt nghiệp Chương trình thạc sĩ điều hành Quản trị kinh doanh quốc tế.

32 tân thạc sĩ nhận bằng tốt nghiệp Chương trình thạc sĩ điều hành Quản trị kinh doanh quốc tế

Chương trình thạc sĩ điều hành Quản trị kinh doanh quốc tế (PGSM) nhằm trang bị cho sinh viên kiến thức và công cụ để giải quyết những vấn đề thực tiễn sản xuất, kinh doanh hiệu quả. Đồng thời, giúp học viên không những trở thành phiên bản tốt hơn của chính mình mà còn có nhiều đóng góp cho doanh nghiệp và cuộc sống.

Quang cảnh buổi làm việc.

Đoàn Công tác của Bộ Giáo dục và Đào tạo làm việc tại Ninh Bình

Ngày 19/12, Đoàn công tác của Bộ Giáo dục và Đào tạo do đồng chí Nguyễn Kim Sơn, Ủy viên Trung ương Đảng, Bộ trưởng làm trưởng đoàn đã có buổi làm việc với tỉnh Ninh Bình về tình hình giáo dục, sắp xếp, tổ chức các cơ sở giáo dục theo mô hình chính quyền địa phương 2 cấp.

Học sinh trung học cơ sở. (Ảnh minh họa: ĐẠI THẮNG)

Đưa ngôn ngữ một số quốc gia ASEAN vào giảng dạy

Trong giai đoạn 2025-2030, Việt Nam sẽ xây dựng, triển khai các chương trình dạy học ngôn ngữ của một số quốc gia trong khu vực ASEAN, trong đó ưu tiên dạy tiếng Lào, ngôn ngữ quốc gia của Campuchia tại các cơ sở giáo dục, đào tạo có nhu cầu và đủ điều kiện triển khai, đặc biệt tại các xã khu vực biên giới.

Học sinh, người dân tại điểm Trường phổ thông nội trú liên cấp Hua Bum, tỉnh Lai Châu. (Ảnh minh họa: Bộ Giáo dục và Đào tạo)

Sắp xếp mạng lưới trường học cần lấy chất lượng làm mục tiêu cao nhất

Hầu hết địa phương giữ nguyên các trường mầm non, tiểu học, trung học cơ sở, trung học phổ thông trong năm 2025 và xây dựng lộ trình sắp xếp sau khi kết thúc năm học 2025-2026. Việc sắp xếp mạng lưới trường học bước đầu đã đạt hiệu quả, tuy nhiên, một số địa phương còn sáp nhập theo hướng cơ học, tiềm ẩn nhiều nguy cơ.

(Ảnh: ĐẠI THẮNG)

Ưu tiên lồng ghép nội dung giáo dục trí tuệ nhân tạo (AI) trong các môn học

Căn cứ vào Khung nội dung thí điểm giáo dục trí tuệ nhân tạo (AI), điều kiện thực tiễn về đội ngũ giáo viên, cơ sở vật chất, nhu cầu và năng lực của học sinh, các cơ sở giáo dục được khuyến khích ưu tiên lồng ghép nội dung giáo dục trí tuệ nhân tạo (AI) trong các môn học, hoạt động giáo dục thuộc Chương trình giáo dục phổ thông.