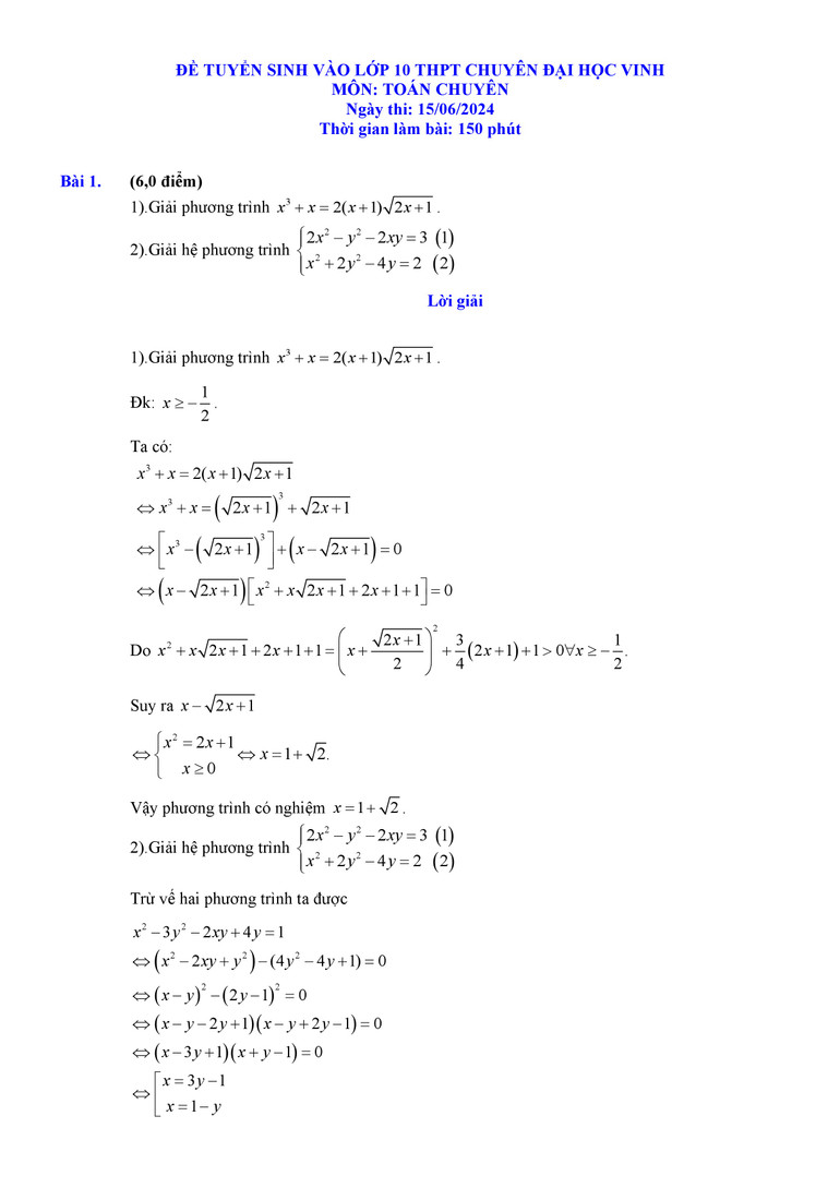
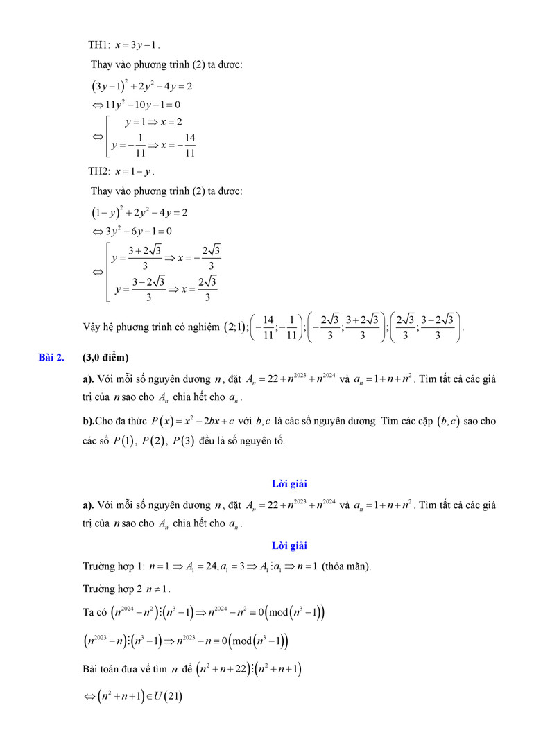
Ngày 15/6 các thí sinh đã tham dự kỳ thi tuyển sinh vào lớp 10 Trường trung học phổ thông chuyên Đại học Vinh, thuộc Trường đại học Vinh.
Dưới đây là gợi ý lời giải chi tiết đề thi chuyên Toán, do các giáo viên nhóm Toán tiểu học-THCS-THPT Việt Nam thực hiện để thí sinh tham khảo.
![]() |
![]() |
![]() |
![]() |
![]() |
![]() |





