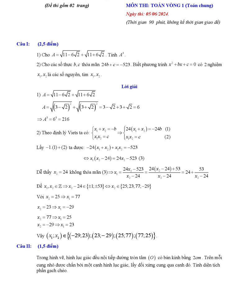
Gợi ý lời giải chi tiết môn Toán (vòng 1) do các giáo viên nhóm Toán tiểu học - THCS - THPT Việt Nam thực hiện.
![]() |
![]() |
![]() |
![]() |
![]() |
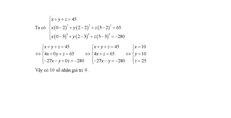
Gợi ý lời giải chi tiết môn Toán (vòng 1) do các giáo viên nhóm Toán tiểu học - THCS - THPT Việt Nam thực hiện.
![]() |
![]() |
![]() |
![]() |
![]() |
Bộ GD&ĐT đang trình Chính phủ dự thảo nghị định quy định chính sách học bổng cho 15 nhóm ngành liên quan đến khoa học cơ bản, kỹ thuật then chốt và công nghệ chiến lược.
Bộ Giáo dục và Đào tạo cho biết, đến ngày 29/4, toàn bộ 4.952/4.952 cơ sở giáo dục trên cả nước đã hoàn thành khảo sát chính thức Chương trình đánh giá định kỳ quốc gia kết quả học tập của học sinh lớp 5, lớp 9 và lớp 11 giai đoạn 2024/2027, bảo đảm đúng tiến độ đề ra.
Kỷ niệm Ngày Giải phóng miền nam, thống nhất đất nước (30/4) năm nay vượt ra khỏi ý nghĩa của một lần trở về ký ức, trở thành phép thử đối với giáo dục: làm thế nào để những giá trị của quá khứ không dừng lại ở cảm xúc.
Khảo sát chính thức Chương trình đánh giá định kỳ quốc gia kết quả học tập của học sinh lớp 5, lớp 9, lớp 11 giai đoạn 2024-2027 được triển khai từ ngày 15 đến ngày 29/4 tại 34 tỉnh, thành phố, với sự tham gia của 4.952 cơ sở giáo dục trên toàn quốc.
Đồng hành cùng Đoàn công tác số 10 năm 2026 đến thăm quần đảo Trường Sa có cô giáo Phạm Hoàng Phương, Phó Hiệu trưởng Trường tiểu học Chu Văn An A (Hà Nội) và cô giáo Ngô Thị Lan. Trong hải trình của mình, các cô mang theo những lá thư viết tay và món quà nhỏ do chính tay các em học sinh làm, gửi tặng các bạn trên đảo Đá Tây.
Nhằm bảo đảm cung ứng đầy đủ, kịp thời sách giáo khoa cho năm học mới, đồng thời chia sẻ khó khăn với phụ huynh, học sinh, Nhà xuất bản Giáo dục Việt Nam tiếp tục điều chỉnh giảm giá sách giáo khoa bình quân 13,3% và khuyến khích tái sử dụng sách, góp phần thực hành tiết kiệm, chống lãng phí.
Ngày 29/4, tại ngôi nhà số 5D, phố Hàm Long, nơi thành lập Chi bộ Cộng sản đầu tiên ở Việt Nam, 9 học sinh ưu tú, Trường trung học phổ thông Việt Đức (Hà Nội) vinh dự được kết nạp Đảng.
Ngày 29/4, Đại học Kinh tế Thành phố Hồ Chí Minh (UEH) công bố thông tin tuyển sinh đại học chính quy khóa 52 năm 2026, với 2 phương thức xét tuyển. Trong đó, phương thức xét tuyển tích hợp chiếm 95% chỉ tiêu.
Số lượng thí sinh đăng ký dự tuyển vào lớp 10 THPT công lập năm học 2026–2027 tại Hà Nội tăng mạnh, cho thấy mức độ cạnh tranh ngày càng lớn.
Những ngày này, khi cây phượng nơi sân Trường tiểu học thực hành sư phạm Ngụy Như Kon Tum đỏ rực báo hiệu hè về, cũng là lúc nơi đây trở thành “điểm hẹn” của 57 thầy, cô giáo cốt cán khu vực tây Quảng Ngãi để cùng sinh hoạt chuyên môn với chủ đề “Ứng dụng trí tuệ nhân tạo (AI) vào quản lý và dạy học trong giáo dục tiểu học”.
Sáng 29/4, tại phường Đồng Hới, Trường trung học phổ thông chuyên Võ Nguyên Giáp, tỉnh Quảng Trị tổ chức Lễ kỷ niệm 30 năm thành lập và đón nhận Huân chương Lao động hạng Nhất. Đến dự có các đại biểu của tỉnh cùng đông đảo các thế hệ cán bộ, giáo viên, học sinh nhà trường qua các thời kỳ.
Tối 28/4, Sở Giáo dục và Đào tạo Hà Nội công bố số lượng học sinh đăng ký dự tuyển vào lớp 10 năm học 2026-2027 của 122 trường trung học phổ thông công lập không chuyên và 4 trường trung học phổ thông chuyên của thành phố.
Chiều 28/4, Trường đại học Luật Thành phố Hồ Chí Minh thông báo điều chỉnh phương thức tuyển sinh đại học chính quy năm 2026.
Một kỷ lục của ngành giáo dục tỉnh Hưng Yên được xác lập sáng 28/4 khi có hơn 252 nghìn học sinh cấp tiểu học cùng đồng diễn múa hát sân trường trong tiết học đầu giờ.
Cục Quản lý chất lượng (Bộ Giáo dục và Đào tạo) cho biết tính đến 8h ngày 28/4, cả nước có 1.017.482 thí sinh đăng ký dự thi trong đó có 969.141 thí sinh lớp 12 (chiếm 95,25%) và 48.341 thí sinh tự do (chiếm 4,75%).
Với khoảng 28% số học sinh là người dân tộc thiểu số cùng sự nâng cao chất lượng dạy học, thời gian qua, các thầy, cô giáo Trường trung học phổ thông Tam Đảo (xã Tam Dương Bắc, tỉnh Phú Thọ) luôn chú trọng giáo dục, vun đắp những giá trị nhân văn bằng tình yêu thương, chia sẻ với học sinh...
Công tác tuyển sinh đại học những năm gần đây ghi nhận nhiều tín hiệu tích cực với xu hướng ổn định, tỷ lệ nhập học tăng cao và phương thức tuyển sinh ngày càng minh bạch. Tuy nhiên, bên cạnh kết quả đạt được vẫn còn những “nút thắt” cần tháo gỡ.
Ngũ Tô Duy trở thành huấn luyện viên 3 năm liên tiếp (2024-2026) giúp thí sinh giành Cúp Jac Khor - giải thưởng danh giá nhất tại Cuộc thi học thuật quốc tế World Scholar’s Cup.
Trường Đại học Ngoại ngữ (Đại học Quốc gia Hà Nội) công bố thông tin tuyển sinh đại học năm 2026 với nhiều phương thức xét tuyển và định hướng đào tạo, gắn với nhu cầu sử dụng ngoại ngữ trong bối cảnh hội nhập.
Kỳ thi tuyển sinh lớp 10 trung học phổ thông năm học 2026-2027 ở thành phố Hải Phòng có quy mô tổ chức lớn so các năm trước đây. Do đó, ngành giáo dục thành phố chủ động xây dựng phương án, cách thức tổ chức, bảo đảm kỳ thi thành công tốt đẹp.
Trong bối cảnh đổi mới đòi hỏi những đột phá về phát triển giáo dục, việc nghiên cứu, xác lập cơ sở khoa học và đề xuất giải pháp hoàn thiện thể chế hệ thống giáo dục là yêu cầu cấp thiết, nhằm tạo động lực cho sự phát triển nhanh và bền vững của đất nước.
Ngày 26/4, Đại học Quốc gia Thành phố Hồ Chí Minh cho biết, tính đến thời hạn cuối đăng ký dự thi Kỳ thi Đánh giá năng lực (V-ACT) đợt 2 năm 2026 của Đại học Quốc gia Thành phố Hồ Chí Minh (ngày 25/4), có 172.622 thí sinh đăng ký dự thi, trong đó có gần 170 nghìn thí sinh đã hoàn tất đóng lệ phí.
Theo Cục Quản lý chất lượng (Bộ GD&ĐT), đến 22h ngày 24/4, hệ thống đăng ký trực tuyến thi tốt nghiệp THPT đã ghi nhận 482.193 thí sinh đăng ký dự thi, tương đương gần một nửa tổng số thí sinh dự kiến. So với quy mô hơn 1 triệu thí sinh dự kiến tham gia kỳ thi năm nay, hiện vẫn còn hơn 500.000 em chưa hoàn tất đăng ký.
Giữa những bản làng cheo leo của tỉnh Sơn La, nơi cái nghèo và hủ tục từng níu chân bao phận đời, vẫn còn nhiều phụ nữ không biết chữ. Con chữ, với họ, thậm chí có lúc tưởng như không có cơ hội chạm tới. Nhưng trong màn đêm của bản Làng Sáng, xã Tà Xùa hôm nay, một lớp học xóa mù chữ đang bền bỉ sáng đèn.
Tại Ngày hội hướng nghiệp Future Fest 2026, các chuyên gia ở các lĩnh vực giáo dục, y tế... đã trực tiếp chia sẻ, trao đổi với học sinh về cơ hội nghề nghiệp, kỹ năng lựa chọn ngành học phù hợp. Nhiều vấn đề thực tiễn cũng được đặt ra như cách xử lý khi chọn sai ngành nhằm tránh lãng phí thời gian và chi phí.
Ngày 25/4, Phó Chủ tịch Ủy ban nhân dân phường Đạo Thạnh (tỉnh Đồng Tháp) Nguyễn Nhất Thi cho biết, địa phương đã ra quyết định tạm đình chỉ hoạt động giáo dục đối với hộ kinh doanh Nguyễn An Phong, dạy thêm Toán bậc trung học cơ sở từ ngày 24/4 đến khi có kết luận chính thức từ cơ quan Công an và ngành chức năng.
Trong Xếp hạng đại học châu Á - Asia University Rankings năm 2026 của Tổ chức Times Higher Education (THE) vừa công bố có tên 11 cơ sở giáo dục đại học Việt Nam. Năm nay, Việt Nam có thêm 2 đại diện lần đầu tiên góp mặt vào bảng xếp hạng.
Chiều 24/4, Đại học Quốc gia Thành phố Hồ Chí Minh cho biết, trước nhu cầu đăng ký dự thi Kỳ thi Đánh giá năng lực (V-ACT) đợt 2 năm 2026 của Đại học Quốc gia Thành phố Hồ Chí Minh tăng cao, đơn vị này đã chủ động phối hợp các cơ sở giáo dục đại học khu vực miền trung để mở rộng địa điểm tổ chức thi.